Great post by Hayim Makabee. Completely agree with him. Experts are not people that know all the rules, they must also know when they don’t apply. As I used to say (a lot) at work, “God is in the details” (os the devil, whichever you like most).
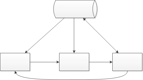
I once worked in a project which did data-fusing from many sources all in one process (because the overhead of making it parallel in those days was deemed to high). Since the advent of multi-core and multi-thread processors and the reduction of processor speed (some call it the end of moore’s law), and the large increase of incoming information, we had to “refactor” our data-fusing process to make it parallel (after doing all available optimizations that we could think of). We created a basic design of the new process pipeline which looked something like this (well, a bit more complicated, but you get the basic picture – a simple pipeline with only one backtracking link):

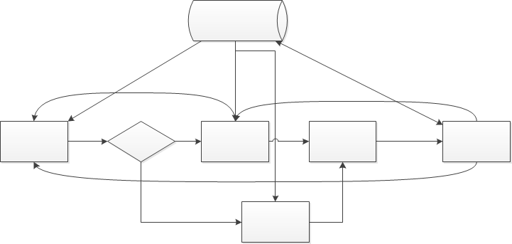
Since we are not experts in the field on which the data-fusing is done, we invited the domain experts to give us feedback on our pipeline. After a couple of days deliberating on the subject, we seemed to have missed a lot of exceptions in our pipeline, and our final design came out something like this (in general terms):

Moral: Because nobody can be an expert on every field, try to be an expert in what you are doing, and if you are doing something on which you are not an expert consult others. If there are no experts available around you, go to the internet, forums, google. There are many good people around that are very, very helpful.
Vainolo's Blog